あと1試合で前半戦が終了なのだが、ここで、いったんここまでの出場記録などを…。
徳島ヴォルティス以外にも、四国のJ3クラブ3チームを含めてまとめてみた。
(J3は折り返しまではまだまだですが…)
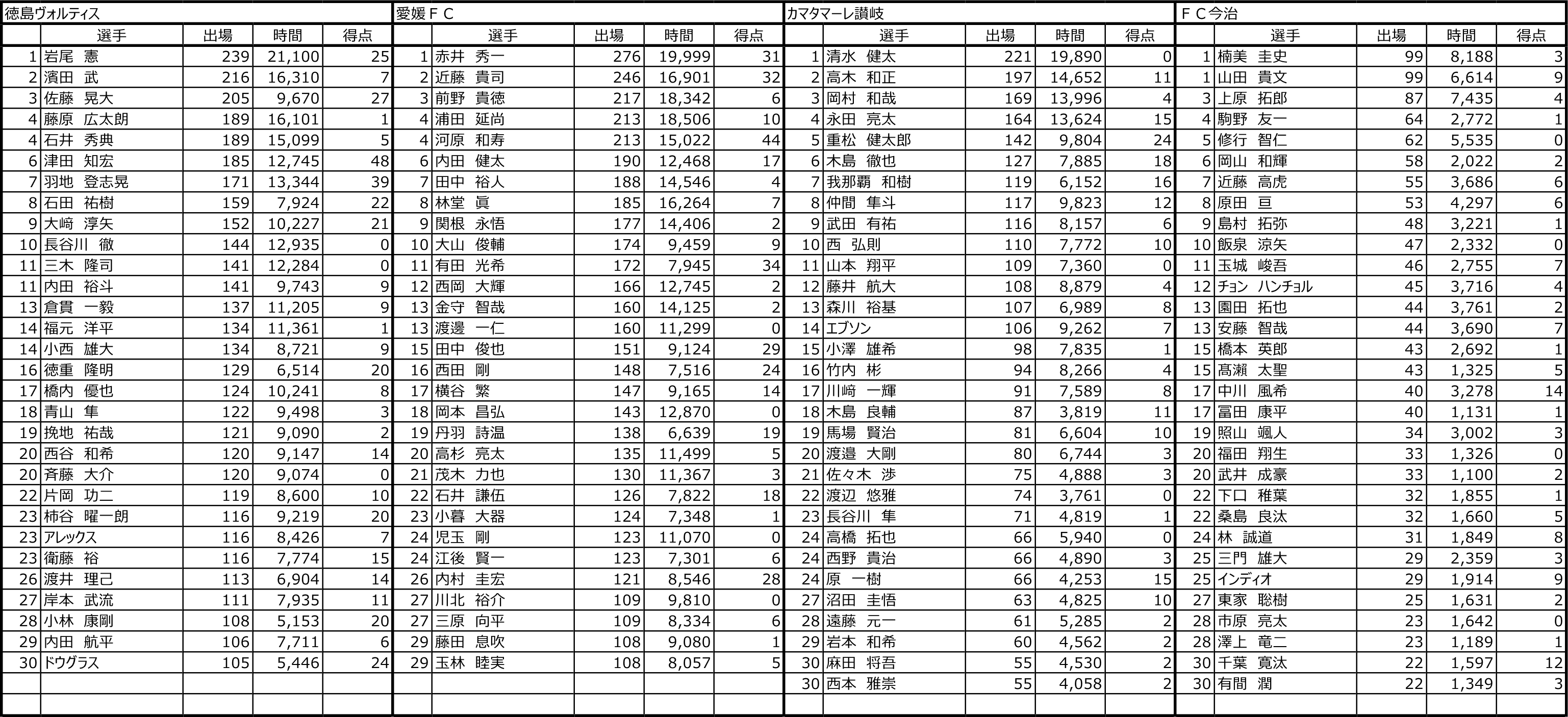
まずは、出場記録。FC今治では今週末にクラブ100試合出場選手が誕生しそうである。

続いて、どれだけ勝ち点に貢献したか、、という数値。各選手が出場した試合の勝ち点を累計したもの。
徳島ヴォルティスでは岩尾 憲選手が363の勝ち点に関わったことになる。出場239試合のうちスタメンが234試合というのも特筆すべき点でしょうか。西谷 和希選手は勝ち点180で、渡井 理己選手と並んで14位タイ。
柿谷 曜一朗選手は勝ち点167。
100位までまとめたものはこちら。


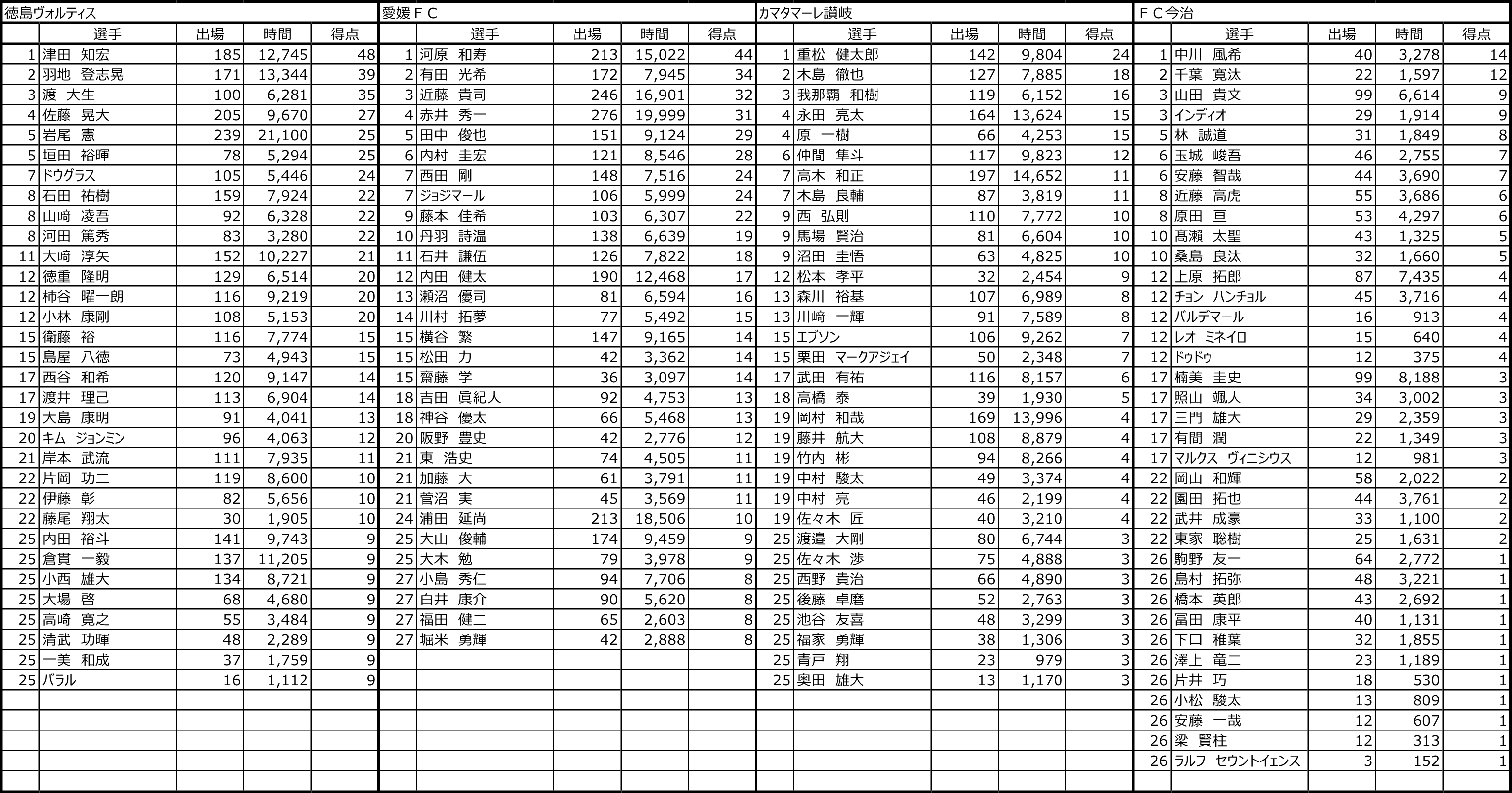
続いて得点数。
徳島ヴォルティスは津田 知宏選手の48得点が最多。愛媛FCでは河原 和寿選手の44得点が最多となっている。
徳島ヴォルティスでは羽地 登志晃さんが39得点で2位、渡 大生選手が35点で3位。柿谷 曜一朗選手は20得点で12位タイ。
西谷 和希選手は14得点で17位タイとなっている。

続いて得点率。90分あたりでの得点数。
徳島ヴォルティスでは、大西 孝治選手が1.364でトップ。森 海渡選手が0.778で2位である。
注目は、愛媛FCの行友 翔哉選手の1.532、ベン ダンカン選手の0.961、そして、FC今治のドゥドゥ選手が0.960。この3人は今年それぞれのチームで得点をあげている。森 海渡選手以上の得点率である。出場時間が少ないため、これから落ちていくかもしれないが、この先、それぞれの選手の得点率がどうなるかは面白そうである。
カマタマーレ讃岐は、甲府に移籍した松本 孝平選手が 0.330 でトップ。爆発的に得点をあげる選手が欲しいところである。


コメント